Zavřít reklamu

Nový patent společnosti Sony by měl přesunout současnou VR technologii na nový level. Sony se totiž pokusí bojovat s nevolností, která vzniká při simulaci tehdy, kdy máte nasazeny VR brýle na očích. Tento patent vznikl již v prvních měsících roku 2017, avšak světlo světa spatřil až nyní.

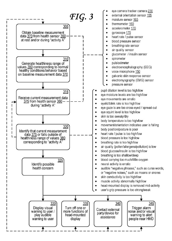
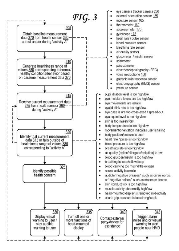
Tento patent, díky kterého by mělo být používání VR příjemnější, pracuje hned s několika technologiemi. Jedná se povětšinou o biometrické senzory – teploměr, sledování očí, senzor vlhkosti apod. Podle tohoto patentu by VR headset používal technologie k tomu, aby určil hranici mezi tím, kdy už virtuální realita nemusí být pro jedince snesitelná. Podle toho by poté VR headset zareagoval – například upozorněním nebo vypnutím. V patentu se ještě nachází mikrofon, který monitoruje vulgarismy, které řeknete – ty totiž mohou také naznačovat, že je něco špatně a měli byste s VR „brzdit“.

Tohle řešení je velice zajímavé, jelikož se Sony snaží lidem pomoct tehdy, kdy se například bojí a nebo se začnou cítit nevolně. Podle obrázku níže by to mělo znamenat, že se Sony nebude snažit takovým lidem „zmírnit“ požitek z právě hrané hry – naopak se pouze objeví upozornění.

Sony Patent New 2

Samozřejmě mohou byt některé tyto prvky využity i jinak. Sledování očí se momentálně projevuje jako nezbytné pro další generace VR. Díky sledování očí by se mohla vykreslovat jen ta část displeje, na kterou se zrovna díváte – tím se sníží výkon potřebný pro provoz VR headsetu. Patent navíc pracuje s bezdrátovou možností – dost možná k používání VR budete v budoucnu potřebovat baterii. Informace by se poté pomocí baterie mohly šířit dále pomocí Wi-Fi.

CEO Sony, Kenichiro Yoshida, potvrdil, že bychom se již v brzké budoucnosti měli dočkat většího komfortu při používání VR. Začátkem roku se navíc objevil patent, který pracuje s novými řídícími jednotkami pohybu. Otázkou tak jen zůstává, kdy se těchto nových technologií dočkáme.

PS VR:

Dnes nejčtenější

.